Обоснование:
У азиатов, перенесших срединную стернотомию, часто образуются гипертрофические рубцы. Данные об эффективности профилактического применения силиконового геля могут повлиять на решение хирургов и пациентов о его использовании в послеоперационном периоде.
Методы:
Авторы провели рандомизированное, плацебо-контролируемое, двойное слепое, проспективное клиническое исследование. Вероятность развития патологического рубца варьировала у разных пациентов, поэтому в своем исследовании мы разделяли стернальные раны на две половины – верхнюю и нижнюю, и на каждую половину воздействовали одним из двух зашифрованных гелей, приготовленных независимым фармацевтом. За счет этого был устранен фактор субъективности при отборе пациентов и оценке результатов, а также исключены другие вмешивающиеся факторы.
Результаты:
Сто ран у 50 пациентов были рандомизированы на две группы – 50 ран было в группе контрольного геля и 50 в группе силиконового геля. Медианный возраст пациентов 61 год, 34 мужчины и 16 женщин; этнический состав: 28 малазийцев, 18 китайцев и четыре индийца. На фоне терапии силиконовым гелем никаких побочных эффектов не выявлено. У 98 процентов пациентов комплаентность была средней или хорошей. Частота образования рубца после стернотомии составляла 94 процента. Через 3 месяца проводили оценку состояния рубцов. По Ванкуверской шкале оценки рубцов, на которые воздействовали силиконовым гелем, были ниже, чем у контрольных рубцов. Различия были статистически значимы по всем параметрам оценки, включая пигментацию (p = 0.02), васкуляризацию (p = 0.001), эластичность (p = 0.001), высоту (p = 0.001), боль (p = 0.001) и зуд (p = 0.02).
Выводы:
Применение силиконового геля для профилактики патологического рубцевания после стернотомии дает многообещающие результаты. Побочные эффекты отсутствуют, комплаентность пациентов удовлетворительная. Результаты данного исследования поддерживают применение силиконового геля в раннем послеоперационном периоде после любых хирургических вмешательств для минимизации образования гипертрофических рубцов. (Plast. Reconstr. Surg. 116: 1013, 2005.)
У пациентов, перенесших хирургическую операцию на сердце, в месте проведения срединной стернотомии часто образуется гипертрофический или келоидный рубец. В более ранних сообщениях приводятся следующие данные: частота патологического рубцевания составляет приблизительно 30 процентов среди представителей европеоидной расы и более 50 процентов в азиатской популяции. 1 В первые 2 месяца послеоперационного периода, когда происходит созревание рубца, заметна тенденция к формированию гипертрофического рубца. Особенно сильно эта тенденция выражена в области грудины. Таковы были итоги наблюдения за пациентами в нашей больнице. Мы стремились найти решение этой проблемы и провели данное исследование. В предыдущем исследовании силиконовые гелевые пластины использовались для лечения свежих гипертрофических рубцов после косметических операций на молочных железах. Обычно это приводило к рассасыванию рубца в течение 2 месяцев. В контрольной группе улучшения за период исследования не наблюдалось, несмотря на то, что, как полагают многие, свежие гипертрофические рубцы могут со временем улучшаться. У пациентов, ответивших на лечение, рецидивирования рубца, как правило, не происходило. Однако постоянное на протяжении 2 месяцев нанесение силиконового геля на старые, уже сформировавшиеся гипертрофические рубцы не давало заметного улучшения. Таким образом, важно принимать меры, направленные на предотвращение патологического рубцевания, на стадии эпителизации раневого дефекта и в ранней фазе созревания рубца. Хорошие результаты получены при профилактическом использовании силиконовых гелевых пластин после косметической хирургической редукции молочных желез в сравнении с контрольными ранами на второй молочной железе. 3 Однако исследования такого профилактического применения не нашли документального отражения в литературе. На контрольных визитах в рамках послеоперационного наблюдения большинство пациентов, перенесших стернотомию, жалуются на зуд и болезненность в области гипертрофического рубца. Особенности процесса рубцевания строго индивидуальны; таким образом, важно, чтобы раны, на которых проводятся вмешательства, и контрольные раны для сравнения были у одного и того же пациента. Исследуемую рану разделяли на две половины – верхнюю и нижнюю. Аналогичный метод использовали в своем исследовании Спрот и соавт. На проведение этого исследования нас подвигла высокая частота возникновения симптоматических гипертрофических рубцов после стернотомии среди пациентов, прооперированных в нашей больнице. Пока нет данных о частоте возникновения гипертрофических рубцов после стернотомии в азиатской популяции. В предыдущих исследованиях было показано, что применение силиконовых пластин связано с многочисленными побочными эффектами и мацерацией кожи. Однако в литературе было мало сведений о силиконовом геле, который был использован в нашем исследовании. Поэтому мы решили оценить его эффективность. Кроме того, не были проведены рандомизированные, слепые, контролируемые исследования профилактического использования силиконового геля на участках тела с повышенной склонностью к образованию келоидных рубцов, например, на грудине. Если будет доказана эффективность его применения в профилактических целях, мы столкнемся с целым рядом новых вопросов. Например, насколько целесообразно рутинное применение силиконового геля при всех видах косметических операций, как разъяснять пациентам все имеющиеся методы редукции рубца при получении информированного согласия и т.д. Общемировой консенсус относительно профилактики рубцевания при всех видах хирургических операций будет достигнут в ближайшем будущем. Эффективные меры профилактики патологического рубцевания способствуют предотвращению функциональной, косметической и психологической морбидности пациентов.
Пациенты и методы
Это рандомизированное, плацебо-контролируемое, двойное слепое, проспективное клиническое исследование было проведено в период с апреля 2003 г. по март 2004 г. После рассмотрения разницы в оценках между двумя группами в исследуемую выборку было включено 100 ран, с альфа-ошибкой (вероятность ошибочного отклонения верной нулевой гипотезы) 5 процентов и статистической мощностью исследования 95 процентов.
Пациенты
В исследование включали пациентов с раной после стернотомии, проведенной в ходе операций по аортокоронарному шунтированию или на сердечных клапанах. К участию в исследовании не допускали пациентов с тяжелой раневой инфекцией или с аллергией на силиконовый гель в анамнезе. Из 53 пациентов, первоначально включенных в исследование, трое прекратили послеоперационное наблюдение в данной больнице. Это было связано с большой удаленностью больницы от их места жительства. Исследование было одобрено университетским комитетом по исследованиям в ноябре 2002 г., а затем университетским комитетом по этике в феврале 2003 г. Исследование было проведено в соответствии с рекомендациями Международной конференции по гармонизации по надлежащей клинической практике. Грант на проведение исследования был предоставлен научным департаментом университета.
Приготовление образцов
Помощь в процессе маскирования плацебо и силиконового геля оказывал независимый фармацевт. Оба типа образцов – контрольные и из силиконового геля – готовились так, чтобы их нельзя было отличить по внешнему виду, запаху и консистенции. В этом исследовании не использовались стандартные силиконовые пластины; вместо них использовали силиконовый гель в аппликаторе стержневого типа (Скарфейд (Scarfade), Хансон Медикал Инк, Кингстон, Вашингтон). В состав контрольного геля входила вода, глицерин, пропиленгликоль и гидроксиэтилцеллюлоза. Для кодирования и рандомизации образцов геля была сгенерирована таблица случайных чисел. Контрольный и силиконовый гели распределяли по контейнерам и маркировали. Контейнеры хранились в запечатанных конвертах, чтобы ни врачи, ни пациенты не знали об их содержимом.
В исследовании было использовано 50 контрольных образцов и 50 образцов силиконового геля. Раны после стернотомии были разделены на верхнюю и нижнюю половины. Обе половины раны были рандомизированы в контрольную группу или в группу силиконового геля, а на конверте и контейнере для геля напечатана инструкция, какой гель на какую половину раны наносить. При выдаче конверта пациенту еще раз давали подробные устные инструкции. Пациентов набирали в исследование в рамках амбулаторного наблюдения. Пациентам разъясняли суть исследования на их родном языке. Чтобы пациенты лучше поняли разъяснения, им раздавали информационные материалы по исследованию и инструкции. Для удобства пациентов, на случай, если им потребуется дополнительная помощь, на листовках были указаны телефоны врача. Согласие пациентов получали в присутствии медсестры, которая выступала в качестве свидетеля. Пациентов просили наносить гель два раза в сутки, один раз утром и один раз перед сном. Нанесение геля следовало начинать со второй недели и продолжать до третьего месяца послеоперационного периода.
Оценка рубцов
Для регистрации изменений состояния стернальных ран при каждом визите делали снимки цифровой фотокамерой в двух проекциях (фронтальная и боковая). Для исключения фактора субъективности все раны оценивал один и тот же врач (по слепому протоколу). Оценку проводили на второй и шестой неделе, и на третьем месяце послеоперационного периода. Для регистрации данных использовали специальную карту наблюдений. Для проведения исследования была выбрана широко используемая Ванкуверская шкала оценки рубцовых деформаций. Все включенные в исследование раны были максимально возможно стандартизованы по давности, длине разреза, локализации на грудине, типу хирургического вмешательства, шовному материалу и хирургу, осуществлявшему сшивание кожи. Ванкуверская шкала оценки представлена в таблице.
Ванкуверская шкала оценки

Пациентов с гипертрофическими рубцами направляли на лечение в отделение пластической хирургии. После завершения сбора данных фармацевт проводил раскодирование замаскированных образцов. Данные регистрировали и анализировали с использованием пакета прикладных программ SPSS, версия 11 (SPSS, Inc., Chicago, 111.). Для сравнения достоверности различий между двумя группами по различным параметрам рубцовой деформации использовали критерий знаковых рангов Уилкоксона. Склонность к образованию рубцовой ткани строго индивидуальна, именно поэтому для сравнения мы использовали другую половину раны того же самого пациента. Таким образом, обе группы были хорошо сбалансированы. Кроме того, это обеспечивало соответствие групп по возрасту, полу, заболеваниям и комплаентности. Так что фактор субъективности и другие обычные вмешивающиеся факторы, связанные с подбором пациентов. были устранены. Биопсия кожи не была включена в данное исследование, так как в нашей больнице др. Хузин Марьян уже проводил похожее исследование (сравнительное исследование эффективности силиконовых пластин со сдавливающей повязкой и только сдавливающих повязок при лечении ожоговых ран), но большинство пациентов отказались от этой процедуры. Исследователи располагали небольшим количеством образцов, гистопатологическое исследование которых показало высокую степень соответствия гистологических изменений оценкам по визуально-аналоговой шкале (М.Хузин, неопубликованные данные, 2000). Исследование Иесан и соавт. также подтвердило высокую степень соответствия оценки по визуально-аналоговой шкале данными кожной биопсии. 5 Университетский комитет по этике поддержал решение пациентов исключить из исследования биопсию кожи.
Результаты
Всего в исследование было включено 100 ран у 50 пациентов, так как рана каждого пациента одновременно была и контрольной, и подлежащей исследуемому вмешательству.
Возраст пациентов был от 26 до 77 лет. Медианный возраст 61 год, межквартильный интервал от 54,75 до 65,25 лет. В исследовании участвовали 34 мужчины (68 процентов) и 16 женщин (32 процента); из них 28 малазийцев (56 процентов), 18 китайцев (36 процентов) и четыре индийца (8 процентов). Различий в склонности к образованию гипертрофических рубцов, обусловленных возрастом, полом и расой, не было.
В исследовании участвовали пациенты, перенесшие операции по аортокоронарному шунтированию (45 пациентов), замене аортальных клапанов (2 пациента), замене митральных клапанов (2 пациента); одному пациенту проведена замена митрального клапана и аортокоронарное шунтирование. У 19 пациентов (38 процентов) не было сопутствующих заболеваний, у четырех был сахарный диабет (8 процентов), у 10 артериальная гипертензия (20 процентов), у 14 сахарный диабет и артериальная гипертензия (28 процентов), у двух нарушение функции почек (4 процента) и у одного хроническое обструктивное заболевание легких. 1 В нашем исследовании сопутствующие заболевания не оказывали никакого влияния на формирование гипертрофических рубцов. У 37 пациентов (74 процентов) была хорошая комплаентность, они никогда не забывали наносить гель. Двенадцать пациентов (24 процента) со средней комплаентностью иногда забывали наносить гель. Один пациент (2 процента) с неудовлетворительной комплаентностью почти всегда забывал наносить гель, так как у него еще не было рубца. Хорошее заживление раны может негативно влиять на комплаентность, что и было в случае данного пациента. Это показывает, насколько сложно добиться комплаентности пациента при проведении профилактического вмешательства на той стадии, когда проблема еще не возникла. Ни у одного из 50 пациентов не отмечено побочных эффектов силиконового геля. У пациентов, использовавших контрольный гель, также не было побочных эффектов. У одного пациента сначала была небольшая поверхностная раневая инфекция. После заживления раны он возобновил нанесение силиконового геля. Только у трех пациентов гипертрофический рубец не образовался совсем. Частота возникновения гипертрофических рубцов после стернотомии составляла 94 процента (47 из 50). У нескольких пациентов при наклоне вперед были заметны ранние рубцы в торакоабдоминальных складках. Возможно, эта область является областью максимального натяжения кожи. Однако у некоторых пациентов гипертрофический рубец сформировался в верхней половине раны, хотя в торакоабдоминальной складке ничего не было.
Пациенты по-разному отвечали на лечение силиконовым гелем. Обычно рубцы в областях, на которые наносился силиконовый гель, были меньше, чем в контрольных областях.
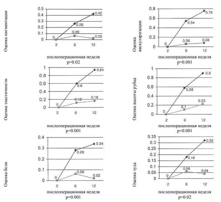
На второй неделе послеоперационного периода во время первой оценки у всех пациентов все послеоперационные рубцы имели нулевую оценку (нормальный). Средние оценки, данные по трем визитам по разным параметрам. В контрольной группе наблюдалось постепенное повышение оценок по всем параметрам. В группе силиконового геля средние оценки пигментации, боли и зуда снижались в период между вторым и третьим визитами. Оценки были несколько выше по параметрам васкуляризации, эластичности и высоты, но все равно намного ниже, чем в контрольной группе.
При третьем визите на третьем месяце после операции отмечена значительная разница между контрольной группой и группой силиконового геля по следующим параметрам: пигментация (p = 0.02), васкуляризация (p = 0.001), эластичность (p = 0.001), высота (p = 0.001), боль (p = 0.001) и зуд (p= 0.02).

(Сверху, слева) Пигментация рубца. (Сверху, справа) Васкуляризация рубца. (В центре, слева) Эластичность рубца. (В центре, слева) Высота рубца. (Внизу, слева) Боль. (Внизу, справа) Зуд.
Обсуждение
Согласно определению гипертрофического рубца, данному в 1970 г. Пикоком, это рубец, поднимающийся над поверхностью кожи и остающийся в пределах первоначального повреждения, тогда как келоид – это рубец, поднимающийся над поверхностью кожи и распространяющийся за пределы исходного повреждения. 6 На склонность к образованию рубцов могут влиять многие факторы: анатомическая область, раса, глубина раны, тип повреждения, инфекция, натяжение кожи против линий Лангера, генетические факторы и длительность иммунной реакции. Иммунная реакция играет важную роль, так как клетки Лангерганса, Т-лимфоциты, тучные клетки и кератиноциты через продуцируемые ими ростовые факторы способствуют активации фибробластов, которые, в свою очередь, вырабатывают избыточный внеклеточный матрикс. Классической областью образования гипертрофических или келоидных рубцов является область грудины. Закрытие стернальных ран, пересекающих линию натяжения, приводит к образованию гипертрофического рубца. 8 Как объясняет Лоуренс, если поверхность кожи закрывается перпендикулярно линиям натяжения Лангера, в сдавленных подкожных тканях создается вертикальное давление. Из-за неподатливости грудины, это давление на поверхности кожи выше, чем в более глубоких слоях. Постоянное внешнее давление со стороны подкожных тканей на кожу может приводить к образованию рубца. Силиконы представляют собой синтетические полимеры, содержащие кремний-кислородный каркас с органическими группами, которые крепятся к атомам кремния углеродными связями. В зависимости от длины полимерной цепи и степени перекрестной сшивки, силикон может быть жидкостью, гелем или резиноподобным веществом. Силикон инертен и не подавляет рост бактерий, но может действовать как бактериальный барьер. При электронной микроскопии видно, что силиконовый гель имеет плоскую поверхность и не имеет пор. Поскольку скорость миграции влаги в рубце ниже, чем в коже, вода, которая скапливается под силиконовой пластиной, может вызывать мацерацию кожи. 11
Австралийская исследовательская группа разработала самые первые силиконовые пластины. Они использовались для лечения рубцов, расположенных в областях анатомического углубления и сгибания под давящими повязками. Исследователи использовали их в период с 6-й по 8-ю неделю после ожоговой травмы, когда начинается формирование рубца. 12 Квинн и соавт. начали применять некомпрессионную терапию гипертрофических рубцов в 1985 г. Силиконовые пластины должны контактировать с поверхностью кожи как можно дольше. Предыдущие исследования показали, что продолжительность ношения силиконовых пластин обычно варьирует от 12 до 24 часов в день. Пластину следует промывать и наносить вновь каждые 24 часа. Однако в жарком климате она может вызывать зуд (80 процентов), сыпь (28 процентов), мацерацию (16 процентов) и неприятный запах (4 процента). При возникновении описанных побочных эффектов пациентам рекомендуют сделать перерыв в лечении и возобновить его только после исчезновения симптомов. Применение силиконового геля позволило устранить описанные выше побочные эффекты и улучшить комплаентность пациентов. В предыдущем исследовании показана эффективность применения силиконового крема у детей. 15 Многие исследования показали эффективность силиконового геля при лечении гипертрофических рубцов. В исследовании Анн и соавт. продемонстрирована еще более высокая эффективность силикона при лечении хронических рубцов. 19 Точный механизм действия силиконового геля до сих пор остается неизвестным. Многие авторы согласны с тем, что он действует на роговой слой кожи, уменьшая миграцию влаги и восстанавливая гомеостаз. За счет этого силикон подавляет активность тучных клеток, снимает отек, предотвращает расширение сосудов и избыточное образование внеклеточного матрикса. Есть и другие объяснения – это изменение температуры, эффект давления, изменение парциального давления кислорода в рубцовой ткани, изменение степени гидратации. Некоторые авторы даже предполагают, что на процессы организации коллагена может влиять статическое электричество. В биоптате рубца, на который воздействовали силиконовым гелем, не было обнаружено никакой реакции на инородное тело или силикон. МакКоули и соавт. культивировали фибробласты кожи человека и показали снижение скорости их пролиферации, если стенки флаконов для культивирования были покрыты силиконовым гелем. Было проведено много исследований методов гидратации и окклюзии, в основу которых были положены принципы гидратирования рубцов, но в разных центрах были получены разные результаты
В прошлом силиконовый гель обычно применяли для лечения уже сформировавшихся рубцов, а не для профилактики патологического рубцевания. Сомнения в том, что его надо применять в профилактических целях, объясняются неопределенностью риска рубцевания у конкретного пациента, соображениями экономической эффективности и безопасности при применении для лечения свежих послеоперационных ран. Клагстон и соавт. оценивали эффект наложения силиконовых пластин на безволосую поверхность кожи морских свинок в первую неделю после линейного разреза кожи. Было показано отсутствие нежелательных эффектов от вмешательства в сравнении с контрольными ранами. Возраст пациентов в нашем исследовании был сравним с таковым в других исследованиях по лечению рубцов после стернотомии. Соотношение полов (мужчин было в два раза больше, чем женщин) может указывать на то, что в этой местности больше мужчин с заболеваниями сердца, чем женщин. По этнической структуре выборка пациентов соответствовала популяции региона Куала-Лумпур, большинство которой составляют малазийцы и китайцы. В данном исследовании не выявлено никаких межрасовых (с разным цветом кожи) различий в склонности к образованию гипертрофических рубцов. Ранее было показано, что европеоидная раса менее чувствительна к патологическому рубцеванию, нежели африканцы и азиаты. Соотношение для этой разницы составляло от 1:15 до 1:35. Большинство операций на открытом сердце в нашей больнице – это операции аортокоронарного шунтирования у пациентов с ишемической болезнью сердца. Ишемическая болезнь сердца – одно из наиболее распространенных заболеваний среди пожилых людей Малайзии. По всей видимости, сопутствующие заболевания пациентов не оказывали какого-либо влияния на образование рубцов у этих пациентов. Общее мнение о том, что у больных сахарным диабетом и заболеваниями почек замедлено заживление ран, в этом исследовании не подтвердилось. Только у одного пациента с сахарным диабетом развилась поверхностная раневая инфекция; рана зажила после нескольких перевязок. Пациенты должны были наносить гель два раза в сутки, комплаентность была хорошей у 74 процентов пациентов. Силиконовый гель легко наносится и остается на коже в течение многих часов. Некоторые пациенты не осознавали важность профилактического применения на ранней стадии заживления раны, когда рубец еще не был заметен. Когда они увидели образование рубца, комплаентность улучшилась. В исследовании не было отмечено явных побочных эффектов, связанных с применением силиконового геля. Эффект тонкого слоя геля оказался сходным с эффектом пластины, но без риска возникновения мацерации кожи. Тем не менее, образование гипертрофических рубцов наблюдали у 94 процентов пациентов, причем большая часть – в контрольной группе, хотя некоторые рубцы образовались в группе силиконового геля. Рубцы в группе силиконового геля были гораздо меньше, чем в контрольной группе. Заключительная оценка в конце третьего месяца показала, что разница между двумя группами была статистически значима. Эти результаты были сопоставимы с результатами других исследований, в которых оценивали эффективность использования силиконового геля для лечения рубцов.
Выводы
В данной больнице Малайзии отмечена высокая частота образования гипертрофических рубцов после стернотомии. Эффективным средством профилактики образования гипертрофических рубцов после стернотомии является силиконовый гель. Образование рубцов в торакоабдоминальной кожной складке у некоторых пациентов свидетельствует о том, что в образовании рубцов важную роль играет натяжение кожи. Побочные эффекты при применении этого типа силиконового геля отсутствовали, комплаентность пациентов была удовлетворительной. Для оценки риска рецидивирования необходимо более длительное наблюдение за пациентами после окончания терапии силиконовым гелем.